唐巧的博客

CSPJ 教学总结:树状数组

字数统计: 6.1k阅读时长: 25 min
2025/04/26

引言

有些时候,题目给我们 N 个元素的序列,然后让我们求前缀和或者区间和。并且,题目还会动态地修改这个序列的值。如果我们每次暴力求解前缀和,时间复杂度会是 O(N),而使用树状数组,可以将查询前缀和的复杂度降低到 O(LogN)。

树状数组是挺不好教学的一个知识点。它需要以下前置知识:

  • 二进制表示法及熟练的位操作
  • 前缀和的知识
  • 树的基础知识
  • 时间复杂度的估算

在教学的时候,我们的教学顺序如下:

  • 先引入问题
  • lowbit 函数讲解
  • 树状数组的结构特点
  • 利用树状数组求前缀和的方法
  • 怎么修改树状数组的值
  • 如何初始化树状数组
  • 增加值或替换值
  • 二维的树状数组

那么让我们来开始。

问题的引入

P3374 树状数组 1 是一道标准的树状数组问题:该题目给我们了一个数列,我们需要解决以下两个问题:

  • 数列的区间求和
  • 更新某一个数(加上 x)

我们很容易想到用暴力的方法来做此题。于是我们可以估计一下暴力的时间复杂度:

  • 数列的区间求和,时间复杂度 O(N)
  • 更新某一个数,时间复杂度 O(1)

题目中提到,求和的次数最多为 M 次,所以最坏情况下,时间复杂度为 O(M*N)。而由于 M 和 N 的最大范围为 5*10^5,所以最大运算次数高达 (5*10^5) * (5*10^5) = 2500亿次,而竞赛中估算 1000 万次的运算时间就接近 1 秒了,这个时间肯定会超时。

数列的区间求和有一个 O(1)的办法,就是提前求出前缀和。假如 Sum(i) 表示前 i 个数的和,那么区间 (i,j] 的和就可以通过 Sum(j) - Sum(i) 来得出。可惜的是,本题还有一个操作是更新某一个数。如果更新的是第一个数,那么整个前缀和数组 Sum 都需要更新,这样更新的时间复杂度会变成 O(N),最坏情况下会有 O(M*N)次更新,造成运算同样超时。

由此,我们需要一个更优秀的数据结构来解决这类问题,这就是树状数组。

lowbit 函数

在讲解树状数组前,我们先学习一下 lowbit 函数。

lowbit 函数实现的功能是:求 x 的二进制最低位 1 以及后面的 0 组成的数。例如:

  • 8 (10 进制) = 1000 (2 进制) ,则 lowbit(8) = 8
  • 9 (10进制)= 1001(2 进制),则 lowbit(9) = 1
  • 10(10 进制)= 1010(2 进制),则 lowbit(10) = 2

所以,我们需要找到目标数的二进制中的最后那个 1 的位置。有两种实现方式:

方法一:x^(x-1) & x

方法一相对比较好理解,我拿二进制数 1100 举例解释如下:

  • (x-1)的效果,相当于把二进制的最后一个1变成 0,比如某数 11001之后,就变成了 1011
  • 这个时候,如果我用 x^(x-1),就会得到 1100^1011=0111
  • 最后,用 x& 刚刚的 x^(x-1),就相当于把x的最后一个1留下来了,前面的1都抹掉了:1100 & 0111 = 0100

方法二:x&-x

我们还是拿二进制数 1100 举例,由于负数是用补码表示,所以对于 1100,它的负数:

  • 原码为:11100(最高为 1 为符号位)
  • 反码为:10011(反码符号位不变,其余位取反)
  • 补码为:10100(补码=反码+1)

这样一操作,x&-x 就等于 01100 & 10100 = 0100,同样把最后的 1 取出来了。

在实现中,我们用方法二的更多,因为更短。参考代码如下:

1
2
3
int lowbit(int x) {
return x & -x;
}

树状数组的定义

对于一个长度为 N 的序列,为了满足上面提到的更快的区间求和和更新的需求,我们可以构造一个树状数组。

树状数组(Binary Index Tree,简称 BIT)通过构造另一个长度为 N 的数组,来做到:

  • 区间求和,时间复杂度 O(log N)
  • 更新某一个数,时间复杂度 O(log N)

因为树状数组需要另外创建一个长度为 N 的数组,所以它的空间复杂度为O(N)

我们先创建出这个数组 b ,然后再引入它的元素间的树状逻辑关系。

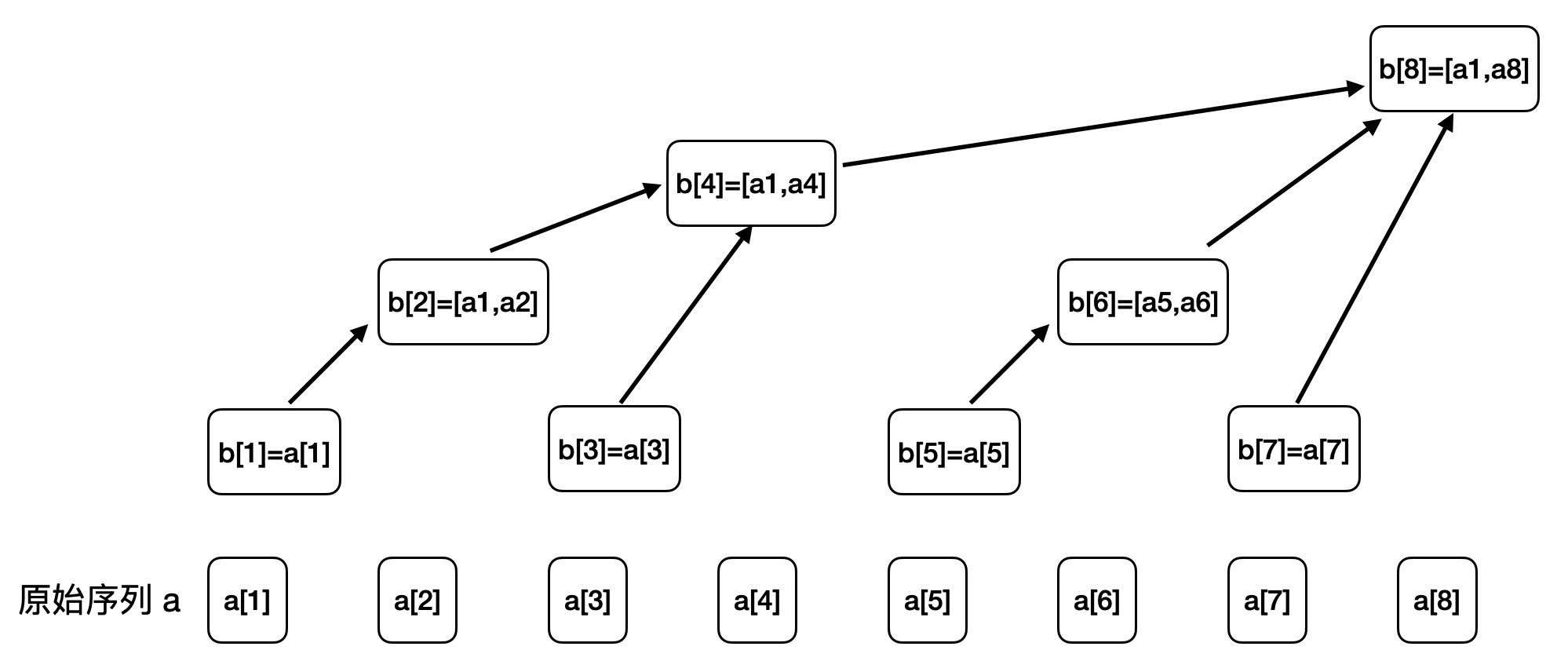
我们有了数组 b,我们让数组 b 相对于原始序列 a,按如下的关系来保存范围和:

  • b[1] 保存 a[1]的值
  • b[2] 保存区间 [a[1], a[2]] 的和
  • b[3] 保存 a[3]的值
  • ….省略若干行
  • b[8] 保存区间 [a[1], a[8]] 的和

我们先不管如何做到的,先假设我们按上面的逻辑,初始化好了这个数组,那么它怎么能快速求出前缀和呢?

树状数组求和

我们假设要求 a[1] ~ a[7]的和,如下图所示,我们知道这段和满足:Sum(7) = b[4] + b[6] + b[7]

那么,我们观察一下 b[4],b[6],b[7] 这几个下标有什么特点:

  • 4 的二进制:0100
  • 6 的二进制:0110
  • 7 的二进制:0111

如果结合上我们刚刚教的 lowbit 函数,我们就可以发现如下规律:

  • 4 的二进制:0100,4 = 6 - lowbit(6)
  • 6 的二进制:0110,6 = 7 - lowbit(7)
  • 7 的二进制:0111

于是,如果我们要求 Sum(7),就可以用 b[7] 开始累加,然后用 7 - lowbit(7) 得到 6,再用 6 - lowbit(6) 得到 4,最后 4 - lowbit(4) = 0,就结束整个求和累加过程。

把以上逻辑转换成代码,是这样的:

1
2
3
4
5
6
7
8
int query(int range) {
int ret = 0;
while (range > 0) {
ret += b[range];
range -= lowbit(range);
}
return ret;
}

有人可能要问了,这个求和都是从序列开头开始的,如果我们想求序列中间一段,比如从 x 到 y 的区间和,应该怎么办呢?这种情况,我们可以:

  • 用 query(y) 把从头到 y 位置的和求出来
  • 用 query(x-1) 把从头到 x-1 位置的和求出来
  • 然后相减 query(y) - query(x-1) 得到区间 [x,y] 的和

更新数据

树状数组也支持更新数据,像P3374 树状数组 1题目中要求的那样,我们可以将某个数加上 x,这种情况应该如何更新数组呢?

我们以更新 a[1]为例,通过观察,我们发现涉及 a[1] 的数组有:b[1],b[2],b[4],b[8],如下图所示:

你有观察出来规律吗?这刚好是我们构建的这个树从叶子结点到根结点的一条路径。

那同样的问题来了,我们如何求解出b[1],b[2],b[4],b[8]这个路径呢?我们来观察一下:

  • 1 的二进制是:0001
  • 2 的二进制是:0010, 2 = 1 + lowbit(1)
  • 4 的二进制是:0100, 4 = 2 + lowbit(2)
  • 8 的二进制是:1000, 8 = 4 + lowbit(4)

我们再验证一个中间结点的更新,比如更新 a[5],如下图所示:

我们看看规则是不是一样:

  • 5 的二进制是 0101,
  • 6 的二进制是 0110,6 = 5 + lowbit(5)
  • 8 的二进制是 1000,8 = 6 + lowbit(6)

至此,我们总结出更新方法:从数列的下标 idx 开始,不停地更新,并且用 idx += lowbit(idx) 获得下一个更新的下标,直到更新到下标超过上界(N)为止。

1
2
3
4
5
6
void add(int idx, int val) {
while (idx <= n) {
b[idx] += val;
idx += lowbit(idx);
}
}

初始化

最暴力的初始化方法是:我们假设原序列全是 0,这样树状数组的初始状态也全是 0 即可正常表达上面的树型关系。然后,我们把每一个 a 序列中的数用更新的方式来放入树状数组中。

至此,我们完成了例题P3374 树状数组 1中的所有细节讨论,完整的代码如下:

1
2
3
4
5
6
7
8
9
10
11
12
13
14
15
16
17
18
19
20
21
22
23
24
25
26
27
28
29
30
31
32
33
34
35
36
37
38
39
40
41
42
43
44
45
46
47
48
/**
* Author: Tang Qiao
*/
#include <bits/stdc++.h>
using namespace std;
#define MAXN (int)(500000+10)

int n, m;
int a[MAXN], b[MAXN];

int lowbit(int x) {
return x & -x;
}

void add(int idx, int val) {
while (idx <= n) {
b[idx] += val;
idx += lowbit(idx);
}
}

int query(int range) {
int ret = 0;
while (range > 0) {
ret += b[range];
range -= lowbit(range);
}
return ret;
}

int main() {
ios::sync_with_stdio(false);
cin >> n >> m;
for (int i = 1; i <=n; ++i) {
cin >> a[i];
add(i, a[i]);
}
for (int i = 1; i <= m; ++i) {
int op, x, y;
cin >> op >> x >> y;
if (op == 1) {
add(x, y);
} else {
cout << query(y) - query(x-1) << endl;
}
}
return 0;
}

但是,以上的这种初使化方法,时间复杂度为 O(N*logN),如果数据刚好卡在初始化中,我们可以用以下这种方法来将初始化时间复杂度优化到 O(N)

初始化(优化)

为了讲明白这种初始化,我们需要观察树状数组 b 中的每个元素代表的数据范围有什么规律。为什么 b[5] 只代表 a[5] 一个元素,但是 b[8]代表的是[a[1],a[8]] 区间的 8 个元素的和 ?

最终我们可以发现,一个数组元素代表的区间范围大小就是它的 lowbit 函数求出来的值。

例如:

  • lowbit(5) = 1,所以它只代表 a[5] 一个元素
  • lowbit(8) = 8,所以它代表 [a[1],a[8]] 共 8 个元素
  • 一个十进制数 88,其二进制为 01011000lowbit(88)=8,所以它代表的区间为 8 个元素。

进一步的,我们可以观察出,对于一个 b[x],它代表的区间为[x-lowbit(x)+1, x]

这对初始化有什么用呢?

  • 我们如果构建了数组 a 的前缀和数组 s,s[i]表示前 i 个数的和。
  • 那么,我们就可以用前缀和数组 s 来初始化 b[x]。

因为 b[x] 代表的区间和是[x-lowbit(x)+1, x],所以:b[i] = s[i] - s[i-lowbit(i)]

至此,我们可以将例题P3374 树状数组 1的代码更新如下:

1
2
3
4
5
6
7
8
9
10
11
12
13
14
15
16
17
18
19
20
21
22
23
24
25
26
27
28
29
30
31
32
33
34
35
36
37
38
39
40
41
42
43
44
45
46
47
48
49
50
51
52
/**
* Author: Tang Qiao
*/
#include <bits/stdc++.h>
using namespace std;
#define MAXN (int)(500000+10)

int n, m;
int a[MAXN], b[MAXN], s[MAXN];

int lowbit(int x) {
return x & -x;
}

void add(int idx, int val) {
while (idx <= n) {
b[idx] += val;
idx += lowbit(idx);
}
}

int query(int range) {
int ret = 0;
while (range > 0) {
ret += b[range];
range -= lowbit(range);
}
return ret;
}

int main() {
ios::sync_with_stdio(false);
cin >> n >> m;
for (int i = 1; i <=n; ++i) {
cin >> a[i];
s[i] = s[i-1] + a[i];
}
// 初始化
for (int i = 1; i<=n; ++i) {
b[i] = s[i] - s[i-lowbit(i)];
}
for (int i = 1; i <= m; ++i) {
int op, x, y;
cin >> op >> x >> y;
if (op == 1) {
add(x, y);
} else {
cout << query(y) - query(x-1) << endl;
}
}
return 0;
}

管辖区间

上面讲到,树状数组中的元素 b[x] 管辖的区间和是[x-lowbit(x)+1, x],因此,我们更能理解树状数组的更新逻辑:

  • 所谓的更新a[x],就是把管辖区间涵盖 a[x] 的所有 b[x]都更新一遍。
  • 那哪些 b[x]的管辖区间涵盖 a[x]呢?就是从二进制看,就是范围中有 lowbit(x) 的数。

举例来说,如果我们要更新 a[2] 的值,lowbit(2) 的值是 0010,所以,我们要更新:

  • b[2], 因为 2 的二进制是 0010,管辖区间是 [1, 2],宽度是 2
  • b[4], 因为 4 的二进制是 0100,管辖区间是 [1, 4],宽度是 4
  • b[8], 因为 8 的二进制是 1000,管辖区间是 [1, 8],宽度是 8

再举一个例子,如果我们要更新 a[5] 的值,lowbit(5) 的值是 0001,所以我们要更新:

  • b[5],因为 5 的二进制是 0101,管辖区间是 [5, 5],宽度是 1
  • b[6],因为 6 的二进制是 0110,管辖区间是 [5, 6],宽度是 2
  • b[8],因为 8 的二进制是 1000,管辖区间是 [1, 8],宽度是 8

再举一个例子,如果我们要更新 a[7] 的值,lowbit(7) 的值是 0001,所以我们要更新:

  • b[7],因为 7 的二进制是 0111,管辖区间是 [7, 7],宽度是 1
  • b[8],因为 8 的二进制是 1000,管辖区间是 [1, 8],宽度是 8

通过上面的例子,我们可以看到,管辖区间在更新的过程中宽度是不断扩大的。不同的数,宽度扩大的倍数不同。但至少是每次翻倍的方式来扩大。

我们再从另一个角度来看管辖区间:我们把数状数组的第 1 个到第 56 个元素的二进制列出来,如下所示:

我们可以观察到:bit 为 1 的位置越低,管辖的区域越小,所以:

  • 有一半管辖区域大小为 1 的数(图中为粉色)
  • 剩下的一半,有一半管辖区域大小为 2 的数(图中为绿色)
  • 再剩的一半,有一半管辖区域大小为 4 的数(图中为紫色)
  • 再剩的一半,有一半管辖区域大小为 8 的数(图中为黄色)

再看这些数的间隔:

  • 粉色的间隔是 2-1,每 2 个出现一次
  • 绿色的间隔是 4-1,每 4 个出现一次
  • 紫色的间隔是 8-1,每 8 个出现一次
  • 黄色的间隔是 16-1,每 16 个出现一次

所以,其实树状数组是把区间和数据按分治的思想进行了切分,这样可以快速求和。

另外,从管辖区域的角度考虑,每一个数在进行 lowbit 减运算的时候,得到的新数,一定和之前的区间不是重叠的。我们可以这样证明:

  • 每个元素 b[x] 管辖的区间和是[x-lowbit(x)+1, x]
  • 我们令 y = x - lowbit(x), 则 b[y] 的管辖区间就是:[y-lowbit(y)+1, y],即:[y-lowbit(y)+1, x - lowbit(x)]
  • 可以看到,这两个区间 [y-lowbit(y)+1, x - lowbit(x)][x-lowbit(x)+1, x]其实是相邻的。

所以,每次减 lowbit(x) 的运算,其实是获得了其左侧相邻的一块区间的和。

我们来看一个查询和的例子,如果我们要求前缀和 sum(7):

  • 我们先计算 b[7],7 的二进制是 0111,管辖区间是 [7, 7],宽度是 1
  • 我们再计算 b[6],6 的二进制是 0110,管辖区间是 [5, 6],宽度是 2
  • 我们再计算 b[4],4 的二进制是 0100,管辖区间是 [1, 4],宽度是 4

我们从上面的例子可以看到:由于每次减掉的都是最小的一个 lowbit 位,所以左侧相邻的新区间一定更宽。所以求和过程中, b[7],b[6],b[4] 对应的管辖宽度从 1 到 2 再到 4.

我们再看一个前缀和 sum(9) 的例子:

  • 我们先计算 b[9], 9 的二进制是 1001,管辖区间是 [9, 9],宽度是 1
  • 我们再计算 b[8], 9 的二进制是 1000,管辖区间是 [1, 8],宽度是 8

和我们刚刚得到的结论相同:求和过程中,随着不断地减 lowbit(x),获得的新区间更宽。

小结:

  • 树状数组中的元素 b[x] 管辖的区间和是[x-lowbit(x)+1, x]
  • 每次加 lowbit(x) 的过程,相当于在不断扩展管辖区间。不同的数,宽度扩大的倍数不同。但至少是每次翻倍的方式来扩大。
  • 每次减 lowbit(x) 的过程,相当于在查找紧临 b[x] 管辖区间的一块新区间。这个新区间,宽度也是不断扩大的。不同的数,宽度扩大的倍数不同。但至少是每次翻倍的方式来扩大。

差分数组

有些时候,题目会让我们一次更新一段区间,这个时候,我们可以引入差分数组来替代原数组。

差分数组中的每一个元素,是原数组相邻两个数的差。

例如:

  • 原数组: 1,2,3,4,5,6
  • 差分数组:1,1,1,1,1,1

我们对差分数组求前缀和,就可以还原出原数组。

这个时候,如果我们把原数组的第 3 个数到第 5 个数都加上 2,我们看看效果:

  • 原数组: 1,2,5,6,7,6
  • 差分数组:1,1,3,1,1,-1

我们观察到,原数组的一个区间都加上 2 之后,在差分数组那里,只有第 3 个数和第 6 个数有变化,其它都没有变化。所以,如果我们用差分数组来代替原数组,就可以只更新两个数值来代表原来的范围更新。

P3368 【模板】树状数组 2此题可以很好地练习差分数组与数状数组的结合运用,相关代码如下:

1
2
3
4
5
6
7
8
9
10
11
12
13
14
15
16
17
18
19
20
21
22
23
24
25
26
27
28
29
30
31
32
33
34
35
36
37
38
39
40
41
42
43
44
45
46
47
48
49
50
51
52
53
54
55
56
57
58
59
60
61
62
63
64
65
66
67
68
69
70
/**
* 差分:
* - 假设 A 序列为原序列
* - 差分数列 C 为原序列每两个数之间的差
* - 即:c[i] = a[i] - a[i-1]
* c[1] = a[1]
* c[2] = a[2] - a[1]
* c[3] = a[3] - a[2]
* - 所以:
* - a[i] = sum(c[1]+c[2]+...c[i])
*
* 对于本题,如果把数组变成差分数组:
* - [x,y] 每个数加上 k,等价于:
* - c[x] += k
* - c[y+1] -= k
* - 求第 a[x] 的值,等价于:
* - sum(c[1]+c[2]+...c[x])
* - 即求前缀和
*
* Author: Tang Qiao
*/
#include <bits/stdc++.h>
using namespace std;
#define MAXN (int)(500000+10)

int n, m;
int a[MAXN], c[MAXN], b[MAXN];

int lowbit(int x) {
return x&-x;
}

void add(int idx, int v) {
while (idx <= n) {
b[idx] += v;
idx += lowbit(idx);
}
}

int query(int range) {
int ret = 0;
while (range) {
ret += b[range];
range -= lowbit(range);
}
return ret;
}

int main() {
ios::sync_with_stdio(false);
cin >> n >> m;
for (int i = 1; i <= n; ++i) {
cin >> a[i];
c[i] = a[i] - a[i-1];
add(i, c[i]);
}
while (m--) {
int op, x, y, k;
cin >> op;
if (op == 1) {
cin >> x >> y >> k;
add(x, k);
add(y+1, -k);
} else {
cin >> x;
cout << query(x) << endl;
}
}
return 0;
}

二维的树状数组

刚刚讲到,对于一个 b[x],它代表的区间为[x-lowbit(x)+1, x]

那么对于一个二维的树状数组 b[x, y],它代表的区间就是 a(x-lowbit(x)+1, y-lowbit(y)+1) - a(x, y) 形成的矩阵的总和。如下图所示:

对于二维的树状数组,更新就需要用两层的循环了。示例代码如下:

1
2
3
4
5
6
7
void add(int x, int y, int v) {
for (int i = x; i <= n; i += lowbit(i)) {
for (int j = y; j <= m; j += lowbit(j)) {
c[i][j] += v;
}
}
}

查询前缀和同样需要用循环,示例代码如下:

1
2
3
4
5
6
7
8
9
int query(int x, int y) {
int res = 0;
for (int i = x; i > 0; i -= lowbit(i)) {
for (int j = y; j > 0; j -= lowbit(j)) {
res += c[i][j];
}
}
return res;
}

如果题目要求区间和,则需要用容斥原理来求解,这里不再展开介绍。

用树状数组求逆序对

什么是逆序对?逆序对是指一个序列中,a[i] > a[j]i < j 的有序对。

比如一个序列是 3 2 1,它的逆序对就有:3 2,3 1,2 1 三组。

树状数组如何和逆序对的数量扯上关系呢?

拿序列 3 2 1 举例,我们知道,树状数组是可以用前缀和的。如果我们:

  • 假设序列初始情况下为全 0
  • 当处理第一个数 3 的时候,我们让树状数组的下标 3 加 1:update(3, 1),同时记录插入了 1 个数
  • 当处理第二个数 2 的时候,我们统计小于等于 2 的前缀和:query(2),然后拿总数减 query(2),得到大于 2 的数字数量
  • 这个数量,就是当 2 被处理的时候,前面有一共多少个数大于 2,即与 2 能够组成逆序对的数量

例题:P1908 逆序对

在此题中,我们先要解决两个问题,才能借用上面的思想:

问题1、题中的数据范围太大,我们如何解决?

答案:我们可以用离散化的思想,把 2 10000 1 变成 2 3 1,因为逆序对是统计相对大小,所以这样更改之后,逆序对的数量是不变的。

具体如何离散化呢?我们可以将数据依次标记上编号,然后排序。例如:

  • 原始序列为 100 200 50, 我们把它分别标上编号 (100,1), (200,2), (50,3)
  • 然后我们将数值排序,得到:(50,3), (100,1), (200,2)
  • 然后,我们再将新的序列赋上从 1 开始的编号:(50,3,1), (100,1,2), (200,2,3)
  • 然后,我们再将序列按原来的编号(第 2 个数字)排序,得到 (100,1,2), (200,2,3), (50, 3, 1)
  • 至此,我们转换得到了新的编号 2,3,1

因为 N 最多是 5*10^5,所以离散化之后,树状数组的大小也缩减到了 5*10^5

在实现的时候,我们可以用结构体来保存上面的三元组。

1
2
3
4
5
struct Node {
int v;
int origin_idx;
int next_idx;
};

问题2、如果有两个相等的元素,会不会计算错误?

我们假设元素是 200 300 200,按我们刚刚的操作:

  • 先标号,得到 (200,1) (300,2) (200,3)
  • 再排序,得到 (200,1) (200,3) (300,2)
  • 再标号,得到 (200,1,1) (200,3,2) (300,2,3)
  • 再排序,得到 (200,1,1) (300,2,3) (200,3,2)
  • 最后序列是 1,3,2

这种是没问题的,但是,如果我们排序的时候不是用的稳定排序,把第二个 200 排到了前面,就会得到 2,3,1,这样逆序对就会多一个 2 1,而这本来是不存在的。

所以,为了解决这个问题,我们可以用稳定排序stable_sort,或者保证排序的时候,值相同的情况下,标号大的在后面。

以下是完整的参考程序:

1
2
3
4
5
6
7
8
9
10
11
12
13
14
15
16
17
18
19
20
21
22
23
24
25
26
27
28
29
30
31
32
33
34
35
36
37
38
39
40
41
42
43
44
45
46
47
48
49
50
51
52
53
54
55
56
57
58
59
60
61
62
63
/**
* Author: Tang Qiao
*/
#include <bits/stdc++.h>
using namespace std;

#define MAXN (int)(5*1e5+10)

struct Node {
int v;
int origin_idx;
int next_idx;
};
Node a[MAXN];
int n,c[MAXN];
long long ans;

bool comp1(const Node &a, const Node &b) {
return a.v < b.v;
}

bool comp2(const Node &a, const Node &b) {
return a.origin_idx < b.origin_idx;
}

int lowbit(int x) { return x&-x; }

void add(int a, int v) {
while (a<=n) {
c[a]+=v;
a+=lowbit(a);
}
}

int query(int a) {
int ret = 0;
while(a) {
ret += c[a];
a -= lowbit(a);
}
return ret;
}


int main() {
cin >> n;
for (int i = 1; i <=n; ++i) {
cin >> a[i].v;
a[i].origin_idx = i;
}
stable_sort(a+1, a+1+n, comp1);
for (int i = 1; i<=n; ++i)
a[i].next_idx = i;
stable_sort(a+1, a+1+n, comp2);

for (int i = 1; i <=n; ++i) {
add(a[i].next_idx, 1);
ans += i - query(a[i].next_idx);
}
cout << ans << endl;

return 0;
}

相关练习题目

文章中涉及的例题:

练习题:

题目 描述
B3874 小杨的握手问题 GESP 202309 六级真题
- -

B3874 小杨的握手问题

解题思路:

  • 把学号为 a 的学生进入教室的行为,转化为第 a 个序列元素的值加 1。
  • 这样,找出小于 a 的学生数量,就等价于求序列前 a-1 个元素的前缀和。
  • 利用数状数组,就可以快速求前缀和了。

参考代码:

1
2
3
4
5
6
7
8
9
10
11
12
13
14
15
16
17
18
19
20
21
22
23
24
25
26
27
28
29
30
31
32
33
34
35
36
37
38
39
40
41
42
43
44
45
46
/**
* 数状数组求逆序对。
*
* Author: Tang Qiao
*/
#include <bits/stdc++.h>
using namespace std;
#define MAXN int(3e5+10)

int n, b[MAXN];
long long ans;

int lowbit(int a) {
return a&-a;
}

void add(int idx, int v) {
while (idx <= n) {
b[idx] += v;
idx += lowbit(idx);
}
}

int query(int range) {
int ret = 0;
while (range) {
ret += b[range];
range -= lowbit(range);
}
return ret;
}

int main() {
ios::sync_with_stdio(0);
cin >> n;
for (int i = 0; i < n; ++i) {
int a;
cin >> a;
// 将学号下标从 0 开始改到 1 开始
a = a + 1;
ans += query(a - 1);
add(a, 1);
}
cout << ans << endl;
return 0;
}
CATALOG
  1. 1. 引言
  2. 2. 问题的引入
  3. 3. lowbit 函数
    1. 3.1. 方法一:x^(x-1) & x
    2. 3.2. 方法二:x&-x
  4. 4. 树状数组的定义
  5. 5. 树状数组求和
  6. 6. 更新数据
  7. 7. 初始化
  8. 8. 初始化(优化)
  9. 9. 管辖区间
  10. 10. 差分数组
  11. 11. 二维的树状数组
  12. 12. 用树状数组求逆序对
  13. 13. 相关练习题目
    1. 13.1. B3874 小杨的握手问题